咨询热线
13914503493
PRODUCTS/ 产品展示

HZ型标准化工流程泵

产品概述:

        HZ系列标准星空(中国)xingkong·官方网站是卧式,单级,单吸星空(中国)xingkong·官方网站;其尺寸和性能符合标准。

        HZ系列标准星空(中国)xingkong·官方网站的性能范围覆盖了IH系列标准星空(中国)xingkong·官方网站所有性能,其效率气蚀性能等指标均超过IH型泵,可与IH型泵进行单机互换。

        在HZ型标准泵的基础上可派生出HZP型系列无堵塞星空(中国)xingkong·官方网站,HZE型中压泵。


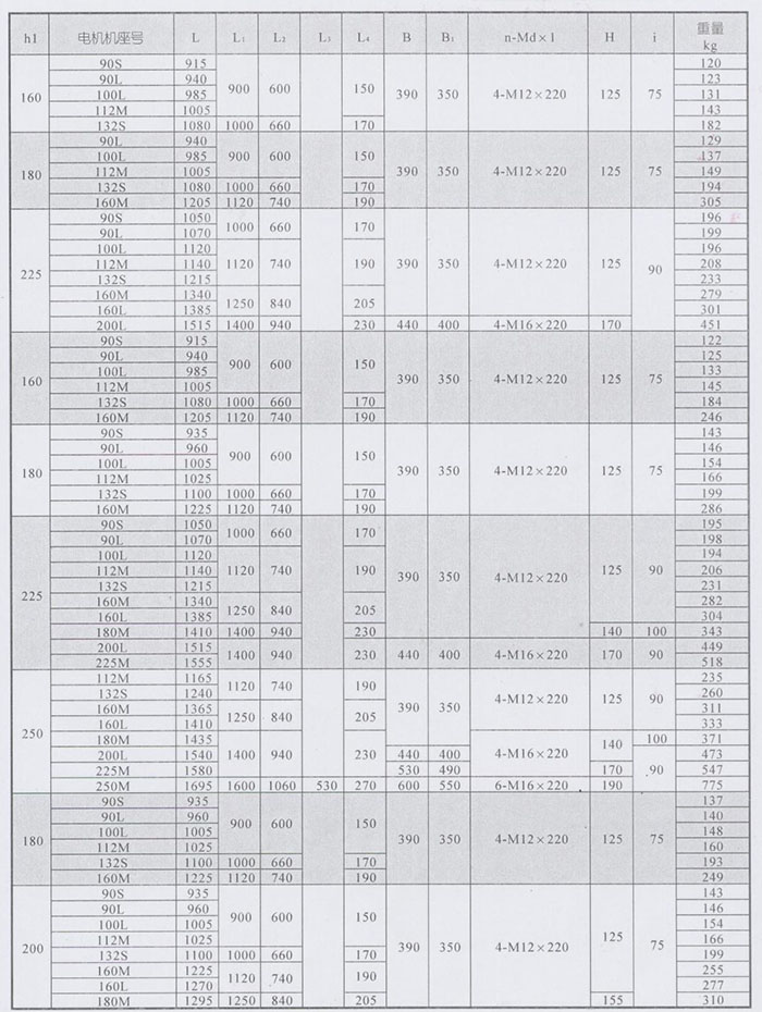
产品参数      结构图       参数表      选型表      型谱图

用途

        输送低温或者高温液体;中性或有腐蚀性液体;清洁或内含有固体颗粒液体。特别适用于;

                化工和石油化学工业

                炼油厂

                造纸厂,纸浆厂

                制药厂,制糖厂

                炼钢厂,发电厂

                海水淡化

性能

        流量Q:12-2000m³/h

        扬程H:160m

        工作压力p:2.5MPa(HZE型为4MPa)

        工作温度T:180 ℃-+300 ℃

        特性曲线平坦,汽蚀值低,效率高。在不满负荷时,也能保持这些特性。

输送介质

        各种温度和浓度的硫酸,硝酸,盐酸,和磷酸等无机酸和有机酸。

        各种温度和浓度下的氢氧化碳和碳酸钠等碱性溶液。

        各种盐溶液。

        各种液态石油化工产品,有机化合物,以及其他有腐蚀性的液体原料和产品。

        HZP型无堵塞泵可以输送大颗粒及含纤维的介质。

        HZE型中压泵用于电站再生循环系统,工作压力为4MPa的介质。


联系电话:
0523-82052586

微信扫一扫